首页 > AI教程资讯 >为DeepSeek MoE模型带来「免费午餐」加速,专家链可大幅提升LLM的信息处理能力

为DeepSeek MoE模型带来「免费午餐」加速,专家链可大幅提升LLM的信息处理能力

2025-03-10ai02门户网

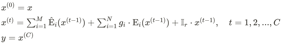
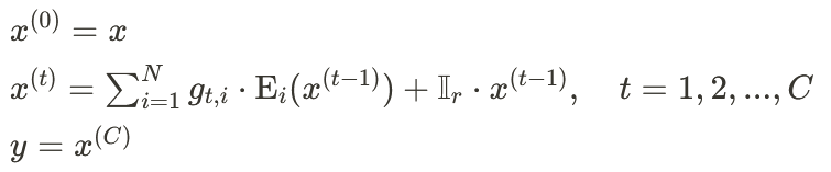
我们都知道,DeepSeek-R1 的训练过程使用了一种名为专家混合模型(Mixture-of-Experts, MoE)的技术,而当前的 MoE 技术依然还有显著的优化空间。近日,美国西北大学计算机科学博士生王子涵(Zihan Wang)等人在这个方向上取得了突破,提出了一种名为专家链(CoE)的技术。实验表明,CoE 在性能、扩展策略、资源效率和专家使用效率等多个方面都显著超越先前的 MoE 模型。为DeepSeek MoE模型带来「免费午餐」加速,专家链可大幅提升LLM的信息处理能力目前,核心研究者王子涵已经撰写并发布 CoE 的中英文博客并已经在 GitHub 开源相关代码,他也在博客中表示研究论文将在近期发布。以下为相关链接:代码:https://github.com/ZihanWang314/coe中文报告:https://sandy-server-87f.notion.site/1ab9bb750b79801bbfebf01ae9a77b3f英文报告:https://sandy-server-87f.notion.site/ChAIn-of-Experts-Unlocking-the-Communication-Power-of-MoEs-1ab9bb750b7980048d43e6aab3537cea机器之心授权转载了其中文报告。作者简介:王子涵,美国西北大学计算机科学博士一年级学生,导师为 Manling Li。他本科毕业于中国人民大学高瓴人工智能学院,并曾参与过 DeepSeek-V2 模型的开发工作。引言我们提出专家链 (Chain-of-Experts,CoE) 架构,一种通过在单层内实现专家间串行通信的创新方法,从根本上改变稀疏神经网络的信息处理方式。MoE 设计中存在专家间独立处理以及显存需求高的问题。与先前 MoE 独立处理每个 token 不同,CoE 引入迭代机制使专家能够 “沟通”,在其他专家的输出之上处理 token。实验证明 CoE 在多个方面显著超越先前 MoE 模型。性能显著提升,CoE 两次迭代在 Math 任务上将验证 loss 从 1.20 降至 1.12;扩展策略优势,CoE 中扩展两次迭代性能相当于将专家选择数量扩大 3 倍,并优于扩展模型层数;资源效率优化,相似表现下减少了 17.6-42% 的内存需求;专家组合自由度提升了 823 倍;专家使用效率增强,促进了专家间的直接通信和更好的专家分化。这些优势构成了一种罕见的 “免费午餐” 效应,为大规模语言模型的高效扩展开辟了新途径。Chain-of-Experts:释放 MoE 专家的沟通潜能大型语言模型(LLMs)不断推动人工智能可能性的边界,但高效扩展这些模型仍然是一个重大挑战。专家混合(Mixture of Experts,MoE)模型作为一种有前景的方法出现,通过每个 token 仅激活部分参数来解决这一挑战,理论上实现更高效的扩展。然而,MoE 模型存在以下局限性:独立标记处理:MoE 模型通常并行独立处理 token,专家之间没有沟通。内存效率低下:由于具有稀疏激活模式,MoE 整体参数数量较大,需要大量内存资源。Chain-of-Experts (CoE) 介绍我们的研究引入了 Chain-of-Experts (CoE),这是一种改变稀疏神经网络处理信息方式的新方法。为DeepSeek MoE模型带来「免费午餐」加速,专家链可大幅提升LLM的信息处理能力Chain-of-Experts 的形式化表述CoE 的关键创新在于建立沟通性处理机制,超越了先前 MoE 模型中的独立标准处理。我们如何实现这一点?通过在单个层的迭代中将 MoE 输出反馈为多次迭代的输入。1、先前 MoE 的输出表示在先前的 MoE 层中,不考虑共享专家,输出可以表示为:为DeepSeek MoE模型带来「免费午餐」加速,专家链可大幅提升LLM的信息处理能力其中 x 是输入,为DeepSeek MoE模型带来「免费午餐」加速,专家链可大幅提升LLM的信息处理能力 是门控值(路由函数分配给专家为DeepSeek MoE模型带来「免费午餐」加速,专家链可大幅提升LLM的信息处理能力 的权重),K 是每个 token 选择的专家数量,N 是每层专家总数,为DeepSeek MoE模型带来「免费午餐」加速,专家链可大幅提升LLM的信息处理能力 是专家 i 的路由参数。考虑共享专家时,路由函数计算不变,MoE 的输出变为为DeepSeek MoE模型带来「免费午餐」加速,专家链可大幅提升LLM的信息处理能力其中 M 是共享专家的总数,为DeepSeek MoE模型带来「免费午餐」加速,专家链可大幅提升LLM的信息处理能力是共享专家。2、CoE 的迭代处理机制在 CoE 中,我们引入迭代处理机制,可以形式化表示为:为DeepSeek MoE模型带来「免费午餐」加速,专家链可大幅提升LLM的信息处理能力其中 为DeepSeek MoE模型带来「免费午餐」加速,专家链可大幅提升LLM的信息处理能力 是第 t 次迭代的中间表示,为DeepSeek MoE模型带来「免费午餐」加速,专家链可大幅提升LLM的信息处理能力 是第 t 次迭代中专家 i 的门控值,C 是迭代的总次数,为DeepSeek MoE模型带来「免费午餐」加速,专家链可大幅提升LLM的信息处理能力是第 i 个专家,为DeepSeek MoE模型带来「免费午餐」加速,专家链可大幅提升LLM的信息处理能力 是残差连接指示变量,当使用内残差时为DeepSeek MoE模型带来「免费午餐」加速,专家链可大幅提升LLM的信息处理能力,否则为0。考虑到共享专家,可以形式化表示为:为DeepSeek MoE模型带来「免费午餐」加速,专家链可大幅提升LLM的信息处理能力3、门控机制详细说明参考 DeepSeek-V2 的实现,我们定义门控机制为:为DeepSeek MoE模型带来「免费午餐」加速,专家链可大幅提升LLM的信息处理能力其中,我们为每次迭代使用独立门控,采用不同的路由函数,K/C 是每次迭代选择的专家数量(以保持总计算量不变),为DeepSeek MoE模型带来「免费午餐」加速,专家链可大幅提升LLM的信息处理能力 是第 t 次迭代中专家 i 的路由参数。方法分析1、CoE 的优势这种迭代式专家处理方法具有两个关键优势:每次迭代的专家选择由前一次迭代的输出决定,形成专家间的依赖关系和更动态的路由机制串行信息可以在迭代过程中累积,实现专家间的直接通信通过这种方式,CoE 能够在保持计算效率的同时,显著提高模型的表现,特别是在复杂的场景中(如实验采用的数学任务)。2、路由函数如何影响决策过程在 CoE 模型中,路由函数为DeepSeek MoE模型带来「免费午餐」加速,专家链可大幅提升LLM的信息处理能力对决策过程的影响是多层次的:动态专家选择:在每次迭代 t 中, 为DeepSeek MoE模型带来「免费午餐」加速,专家链可大幅提升LLM的信息处理能力基于前一次迭代的输出 为DeepSeek MoE模型带来「免费午餐」加速,专家链可大幅提升LLM的信息处理能力 来决定当前迭代中哪些专家应该被激活以及它们的权重。信息流控制:路由函数控制了信息如何在专家网络中流动,通过在每次迭代中重新评估路由决策,确保信息能够流向最相关的专家。适应性处理:随着迭代的进行,路由函数可以调整其路由策略,根据先前迭代的处理结果来优化后续专家的选择。实验结果与发现我们采取 DeepSeekV2 结构,在 500M 级别 MoE 下使用 32K Tok 的 batch size 训练 1000 步,完成了一系列实验来验证 CoE 的有效性。单次训练使用一张 H100 约为 30 分钟,使用一张 4090 约为 2 小时。更多实验细节见后。我们的实验方法命名为为DeepSeek MoE模型带来「免费午餐」加速,专家链可大幅提升LLM的信息处理能力,例如 CoE-2 (4/64) 代表使用 CoE,循环次数为 2,每次选取 4 个专家,每层一共有 64 个专家。我们在所有实验中设置共享专家的数量为 1,在迭代次数为 2 的情况下,这会提高 5% 左右的计算需求。效果优势1、 在算力预算与显存预算相似时,CoE 效果明显更优。在 Math 任务上进行预训练 (步数 1000),CoE-2 (4/64) 的效果明显优于 MoE (8/64),在相似的算力和内存要求下,将 loss 从 1.20 下降至 1.12,且有更陡峭的下降趋势。为DeepSeek MoE模型带来「免费午餐」加速,专家链可大幅提升LLM的信息处理能力我们进一步在 “dense”(专家 8 选 8)模型上也测试了 CoE,证明了串行处理在 Sparse MoE 上相比 Dense 模型更有效,CoE 是 (Fine-Grained) Sparse MoE 的专属方法。如图所示,采取 2 次序列化处理对 Dense 模型性能没有显著益处。为DeepSeek MoE模型带来「免费午餐」加速,专家链可大幅提升LLM的信息处理能力资源效率1、在计算量和效果相似的情况下,CoE 可以减小对显存的要求。例如,CoE-2 (4/48) 的效果与 MoE (8/64) 相近,但使用更少的总专家数量。如下图所示,loss match 的情况下减小了 17.6% 的显存需求。为DeepSeek MoE模型带来「免费午餐」加速,专家链可大幅提升LLM的信息处理能力(注,我们记录了 GPU memory allocated,与 micro_bsz=1 的时候理论最小显存相关,实际上因为实验中使用了较大的 batch size,使用的显存会更大)2、在预算相似的情况下,CoE 是更好的计算扩展方式。我们对比了 CoE 和其他计算扩展方法:拓展模型层数与拓展专家选择个数。a) 拓展迭代次数 (CoE) > 拓展模型层数CoE-2 (8/64),4 层 vs MoE (8/64),8 层 / 12 层,8 层 MoE 和 CoE 效果几乎相同,但是对 Memory 要求高 72%,即 CoE 相对节省了 42% memory。为DeepSeek MoE模型带来「免费午餐」加速,专家链可大幅提升LLM的信息处理能力b) 拓展迭代次数 (CoE)> 拓展专家选择个数CoE-2 (8/64),4 层 vs MoE (16/64) 或 MoE (24/64),4 层,Memory 和 Compute 要求一致,CoE 效果更好。为DeepSeek MoE模型带来「免费午餐」加速,专家链可大幅提升LLM的信息处理能力3、架构设计的关键发现a. 独立门控机制独立门控机制可以提升模型性能,能从一定程度上解释专家的分化,表明同一专家在不同迭代阶段处理不同类型的信息。我们实现了共享门控的 CoE 变种,使用共享的为DeepSeek MoE模型带来「免费午餐」加速,专家链可大幅提升LLM的信息处理能力 而非 为DeepSeek MoE模型带来「免费午餐」加速,专家链可大幅提升LLM的信息处理能力,具体而言:为DeepSeek MoE模型带来「免费午餐」加速,专家链可大幅提升LLM的信息处理能力发现效果差于 CoE,甚至差于没有拓展规模的 MoE,如下图所示,体现独立门控机制的重要性。    b. 残差连接内残差连接 (inner residual) 比外残差连接 (outer residual) 更有效,这表明每组专家对 token 的串行处理实际上是在提高模型的有效深度,每个专家的处理都在更好地学习残差。我们实现了外残差连接的变种,将 为DeepSeek MoE模型带来「免费午餐」加速,专家链可大幅提升LLM的信息处理能力 设置为 0,层内迭代处理结束后再连接残差,具体而言:为DeepSeek MoE模型带来「免费午餐」加速,专家链可大幅提升LLM的信息处理能力发现效果差于 CoE 且与 MoE 相当,如下图所示,体现内残差连接的重要性。为DeepSeek MoE模型带来「免费午餐」加速,专家链可大幅提升LLM的信息处理能力理论观察:免费午餐效应最显著的是,CoE 或许提供了我们称之为 “免费午餐” 加速。通过重构信息在模型中的流动方式,与以往 MoE 方法相比,我们以更少的计算开销实现了更好的结果。我们认为这种效果可能来自于三个因素:1. 专家选择的自由度提高。为DeepSeek MoE模型带来「免费午餐」加速,专家链可大幅提升LLM的信息处理能力,选择的可能性变多2. CoE 统一了串行处理 (sequential processing) 和专家通信 (expert communication) 两个概念:    不同专家之间可以串行处理,提高了 Transformer 的有效深度。两次前向传播送到不同专家时,增强了专家的串行特征 — 处理同一个 token 的路由专家数相同,但是是串行地处理。    一个专家在迭代过程中有机会处理一个 token 多次,可能有助于促进专家的分化:一个专家与其他专家合作处理后,可以在后续迭代对 token 进行补充处理。 实验细节1、数据集实验使用的数据集为 MetaMathQA (链接:https://huggingface.co/datasets/Meta-math/MetaMathQA ),该数据为从 GSM8K 和 MATH 数据集中增强而来,不含网络获取的通用数据。2、模型配置我们基于 DeepSeek-V2-Lite 架构,设置总参数为 544MB(不含 embedding)的模型,实现了 CoE 方法,主要配置参数如下:基础模型参数:隐藏层大小:1024,隐藏层数量:4,注意力头数:8MoE 相关参数:路由专家总数:63,共享专家数量:1,每个 token 选择的专家数量:8 (routed) + 1 (Shared),MoE 中间层大小:704,MoE 层频率:1 (每层都是 MoE 层)CoE 特有参数:迭代次数:2,残差连接方式:内部连接,独立门控机制:开启 (每次迭代使用不同的路由函数)3、训练设置批量大小 (batch size):64,序列长度:512,训练步数:1000,优化器:AdamW,学习率:3e-4,学习率调度:10% Warmup,betas: [0.9, 0.95]   weight_decay: 0.01   warmup_steps_ratio: 0.1   CLIP_grad: 1.0。4、系统设置训练采取改版后的 verl 架构(微调了原版实现),代码参考 https://github.com/ZihanWang314/coe,实验都在多个单张 H100 的服务器上进行。每组实验在 1 小时以内完成。结论Chain-of-Experts 代表了高效、高性能语言模型发展的重要一步。通过在稀疏神经网络中实现沟通处理,CoE 解决了当前 MoE 架构中的基本限制,同时以更少的计算需求提供优越的性能。这项研究为高效扩展语言模型开辟了新途径,可能使先进的人工智能能力更加普惠和可持续。未来工作1. 扩展法则研究:提高模型尺寸、预训练步数、批量大小,测试不同数据集等。目前使用数学数据集是因为其推理复杂性具有挑战性,但计划在通用数据集上进行测试。2. 进一步评估:测试模型的实际任务表现而非仅限于评估损失扩展循环次数:目前只测试了循环次数 = 2,探索 3、4 次等是否有效进一步评估共享专家对 CoE 的作用3. 架构创新:基于循环告诉我们一个专家可以使用多次的原理,探索是否可以实现所有层共享专家的 MoE Transformer,并分层选择专家例如,DeepSeekV2Lite 有 27 层,每层 64 个专家,目前每层选 6 个路由专家有约 7×10⁷ 种组合,而如果每一层过 MoE 时,都从全部 27×64 个专家中选择,一共将有 3×10¹⁶ 种可能的组合局限性虽然理论上 TFLOPs 保持一致,但实际训练时间会略微增加,因为单次迭代选择更少专家减小了矩阵乘法并行度。未来工作可能需要进行底层适配。该方法需要从头预训练而不能简单地适配现有模型,限制了大众研究者的应用。模型更大时,多节点 EP 通信开销也需要纳入考虑;当前架构基于 DeepSeekV2,与 V3 的模型架构兼容,但 V3 中实现的 MTP、FP8 等训练架构尚未测试,兼容性未知。这篇博客文章基于我们关于 Chain-of-Experts (CoE) 的研究论文。有关更多技术细节和实验结果,请关注我们即将发布的完整论文。贡献者Zihan Wang*Rui Pan*Lu Yin*Manling Li*Shiwei Liu** 共同作者。ZW 和 SL 发起了项目。LY 探索了 MoE 内层处理机制。ZW 提出了串行专家和 CoE 概念,实现了代码并进行了实验。SL 提出了独立门控机制。RP 探索了层间重要性并贡献了数据集。ML 进行了实验指导并提供了云计算服务。ZW 和 ML 准备了报告和可视化材料。参考文献https://arxiv.org/pdf/2309.08520 MoE 缩放法则https://arxiv.org/pdf/2101.03961 Switch Transformerhttps://arxiv.org/pdf/2502.05171 循环深度https://arxiv.org/pdf/1909.11942 ALBERT (密集模型上的循环)https://arxiv.org/abs/2401.06066 DeepSeekMoEhttps://arxiv.org/abs/2405.04434 DeepSeek V2https://arxiv.org/abs/2412.19437 DeepSeek V3https://arxiv.org/abs/1512.03385 ResNet

声明:本文内容及配图由入驻作者撰写或者入驻合作网站授权转载。文章观点仅代表作者本人,不代表本站立场。文章及其配图仅供学习分享之

3934
384

同类推荐更多

八大影视台词搜索神器,剪辑师必备!

八大影视台词搜索神器,剪辑师必备!

最火的AI教程资讯

2024-12-26

八大影视台词搜索神器,剪辑师必备!_映技派,专注ai人工智能!,各位朋友们,大家晚上好,给各位老铁推荐几个不错的影视台词搜索网站,剪辑师一定不要错过哦!有些朋友在看某条或某音短视频的时候,是不是很好奇或者又非常喜欢这段视频的某些台词呢?想必大家深有体会,一些经典有意义的台词真的能带给人一些感动和感悟。现在就给大家推荐这7个非常有用的运用台词就能搜索到影视剧名称的网站,肯定会对你有所帮助的,感谢大家!1、33台词-电影台词搜索引擎(http: 33 agile